MathTime Professional 2 Fonts

Custom-Designed Math Fonts for use with Times Fonts

Image:MTP2formula4-bit.bmp
Compare this to Computer Modern fonts

MathTime Professional 2 (MTPro2) fonts may be used in place of Computer Modern fonts (the standard TeX fonts) in any LaTeX or TeX document. Just add a line or two to your source document, and your math fonts will be replaced by MathTime Professional fonts. MTPro2 fonts were designed by Michael Spivak of Publish or Perish Inc.

Many journals, publishers, and organizations use MathTime Professional fonts, including The Mathematical Association of America (http://maa.org), and Mathematical Sciences Publishers (http://mathscipub.org).

MTPro2 Videos – New MTPro and Annals of Mathematics
MTPro2 Features Pricing
MTPro2 Brochure The 68 MTPro2 fonts

The fonts are offered in two versions, Complete and Lite. Some features of both versions:

  • Provides custom-designed Times-compatible characters & symbols.
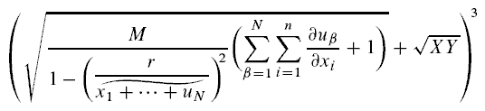
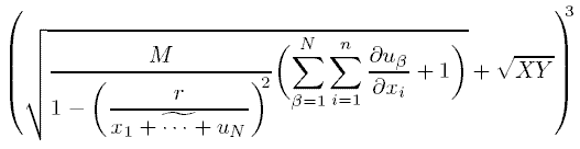
  • Has individually designed parentheses and other delimiters, as well as radical signs up to 4 inches high, and math accents up to 4 inches wide (example).
  • Fonts have three design sizes for text, sub/superscripts and second-order sub/super-superscripts. This feature is subtle but adds a lot to the finished result. Many math fonts use linear scaling to create smaller symbols for subscripts, which can result in poor appearance --- see this example.
Designed Image:MTP2Designed.gif
Scaled Image:MTP2OpticallyReduced.gif
 
Note the alpha and k in the Designed example, which are
expanded and blend better with the larger symbols.
MTPro2 Features Pricing
MTPro2 Complete set features View the MTPro2 Guide
MTPro2 Lite version View the MTPro2 LaTeX Guide
Features comparison View the MTPro2 End User License
The MTPro2 Project

[Note: if you currently use the original MathTime Professional fonts see the description of MTPro2 changes and improvements ]


MathTime Professional 2 (MTPro2) "Complete" version provides a complete math typesetting environment.

The MathTime Professional 2 (MTPro2) "Lite" version offers a MathTimePro replacement for the basic Computer Modern fonts. The Lite version may also be used as an evaluation of MTPro2 --- if you like Lite, order the Complete set and receive full credit. If you like Lite, you'll love Complete!

Pricing

Product Price
Academic
price
MTPro2 Complete $179 $129
  Sale price $149 (http://pctexstore.com/pctex/mapro2fo.html) $79 (http://pctexstore.com/pctex/mapro2fo.html)
MTPro2 Lite Free (http://www2.pctex.com/downloads.php?product=MTP2L) Free (http://www2.pctex.com/downloads.php?product=MTP2L)
Lite -> Complete upgrade *$130 (http://pctexstore.com/pctex/mapro2fo.html) $60 (http://pctexstore.com/pctex/mapro2fo.html)
MTPro1 -> MTPro2 Complete upgrade $39 (http://pctexstore.com/pctex/mapro2fo.html) $39 (http://pctexstore.com/pctex/mapro2fo.html)
MT Y&Y -> MTPro2 Complete upgrade $99 (http://pctexstore.com/pctex/mapro2fo.html) $99 (http://pctexstore.com/pctex/mapro2fo.html)

* This upgrade is for Lite licenses purchased before November 2009.
It does not apply to free Lite licenses.

View the MTPro2 End User License

What is Academic pricing?


Features of MTPro2

The following apply to both the Lite and Complete versions

  • Special symbols
Image:MTP2specialSymbols.gif
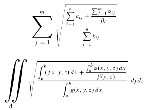
  • Large operators
Image:MTP2largeOps.gif
  • The option of having an italic z with a "swash tail" (as in many versions of text Times-Italic) within equations.
Image:MTP2zswashFormula.bmp
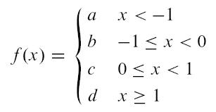
  • In addition to the individually designed parentheses, radical signs, etc. up to 4 inches high, and wide accents up to 4 inches high in the original MTPro fonts, there are now individually designed curly braces (and a "curly cases" construction) up to 4 inches high
  • Individually designed curly underbraces and overbraces, up to 4 inches wide
Image:mtp2underbrace.jpg
  • Optional slanted \sum, \prod, and \coprod operators
Image:MTP2largeopSlant2.jpg
  • Extra-large operators
Image:MTP2ExtralargeOps.gif

A single macro package

supports both the Lite and Complete MTPro2 font sets, and replaces the macro packages for Supplements A and B of the original MathTime Professional fonts.

May be used with older TeX systems, e.g. Y&Y TeX

Complete set only features

  • Bold versions of the italic fonts
Image:MTP2BoldItalic.jpg
  • ... and both bold and heavy (extra-bold) versions of the symbol and extension fonts
Image:MTP2Bold.jpg
Image:MTP2heavy.jpg
  • Times-compatible versions of the AMS fonts
Image:MTP2AMS.jpg
  • ... as well as some additional symbols
Image:MTP2AddtlSyms.jpg
  • ... as well as bold and heavy versions
Image:MTP2AMSbold.jpg
Image:MTP2AMSheavy.jpg
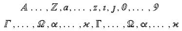
  • Script, Fraktur, "Holey-Roman-Bold", and Blackboard bold fonts
Image:MTP2script.jpg
Image:MTP2fraktur.jpg
Image:MTP2BlackboardBold.jpg
Image:MTP2BlackBoardBold1.jpg
  • Also contains a "curly" script alphabet similar to a type of script font that has frequently been used in past typesetting, for those who prefer this version
Image:MTP2curly.jpg
  • In addition, there are blackboard bold and "holey bold" versions of fonts with slanted letters and numerals, as well as all the Greek letters, both slanted and upright
Image:MTP2BlackBoardBoldSlant.jpg
Image:MTP2holeySlant.jpg

MTPro2 Lite

This is a subset of MTPro2 which offers a MathTime Pro replacement for Computer Modern math fonts. Lite does not include:

  • Bold math fonts*
  • Times-compatible script, curly, fraktur, and blackboard bold fonts
  • AMS symbols

Lite can be used as an evaluation of MTPro2 --- if you like Lite, order the Complete set and receive full credit. See also Features comparison.

  • Free (http://pctexstore.com/pctex/ma2lifoset.html)

* except for the bold upright math alphabets \mathbf and \mbf, and the bold versions of CM Calligraphic and the Euler fonts

Features Comparison

This table shows the difference between the MathTime Professional 2 Lite and Complete font sets. Note that the Lite set provides the basic math fonts needed for LaTeX and TeX documents, while the other provides a "Complete" math typesetting environment.

Image:MTP2table21.gif
Image:MTP2table22.gif


Compare MTPro2 with Computer Modern

MathTimeProfessional 2
Image:MTP2formula4-bit.bmp
Image:MTP2CMformula.bmp
Computer Modern

Note the large parentheses (curved in MTPro2, straight in CM), wide math accent, and slanted radical.